Assistenza e consulenza:

03681 / 454266-20
Lun-Gio 06:30 - 16:00
Ven 06:30 - 12:00
Contatto
Spedizione rapida
Controllo, manutenzione & riparazione
Oltre 15.000 clienti soddisfatti
Pagamento con fattura
Chiamaci: 03681 454266-20
Ricerca in corso...

H-Traverse / Traverse trasversale regolabile

H-Traverse / Quertraverse / Traverse kaufen - Lastaufnahmemittel
H-Traverse / Quertraverse / Traverse kaufen - Lastaufnahmemittel
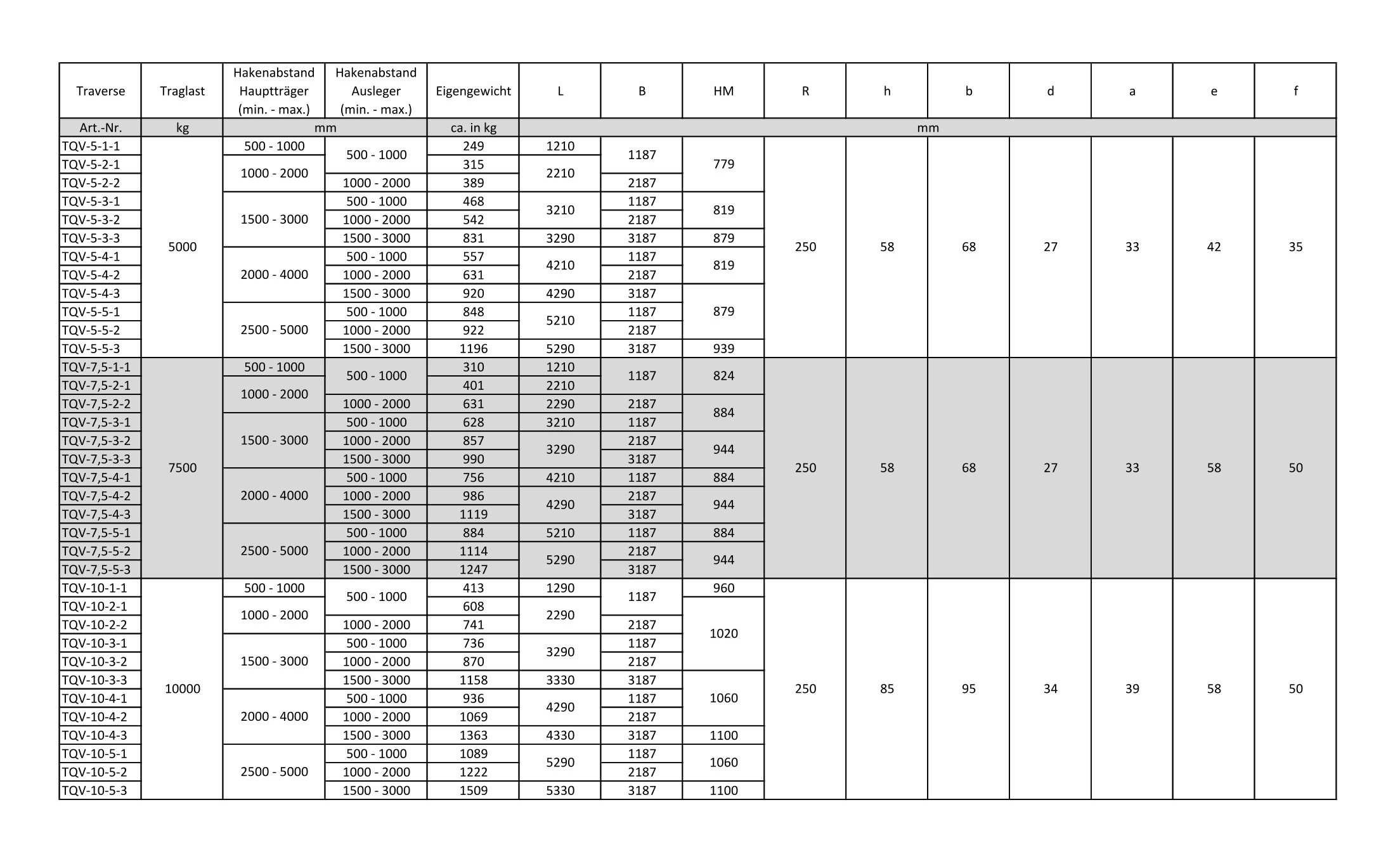
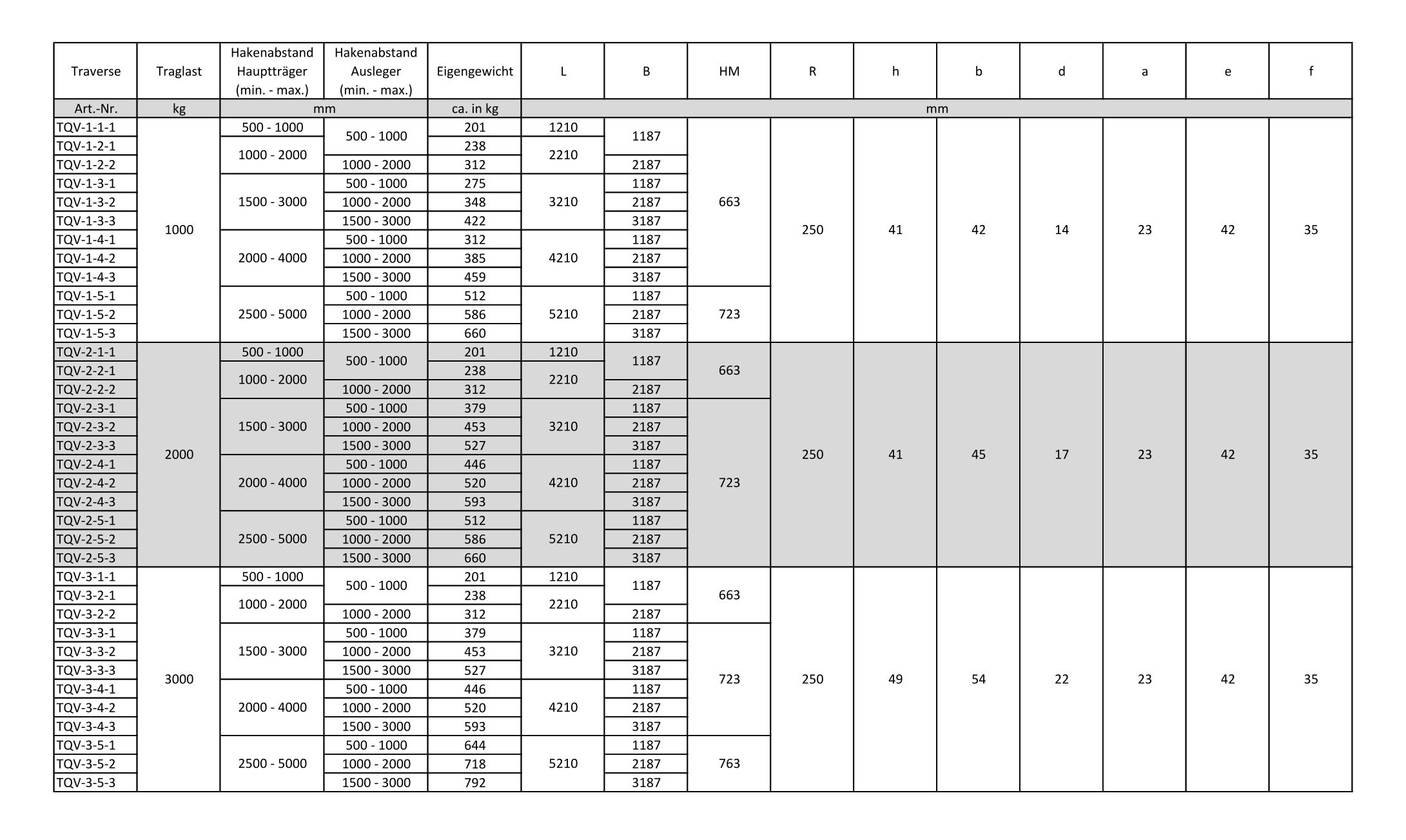
H-Traverse verstellbar Technische Daten 1000-3000kg
H-Traverse verstellbar Technische Daten 5000-10000kg
H-Traverse / Quertraverse verstellbar - Traversen
Gewicht: ca. 922,00 kg

Art.-Nr.: TQV-5-5-2

H-Traverse / Traverse trasversale regolabile

4.563,00 €*

Contenuto: 1 pezzo

* Prezzi netti IVA esclusa, più spese di spedizione

Disponibile, 3-4 Wochen
Numero articolo: TQV-5-5-2
I nostri metodi di pagamento:
Bonifico Fattura Carta di credito
Condividi questo prodotto:

Informazioni prodotto

Traverse H regolabile / Traverse trasversale – Flessibile, robusta e realizzata su misura

La traverse H regolabile, nota anche come traverse trasversale o traverse a 4 punti, è la soluzione ideale per il trasporto sicuro e flessibile dei carichi con la gru. Grazie alla sua progettazione intelligente con un travetto trasversale con sospensione centrale e due bracci regolabili con ganci a girello, offre la massima adattabilità mantenendo al contempo la massima capacità di carico.

I tuoi vantaggi a colpo d'occhio:

  • Distanza dei ganci regolabile individualmente – per una distribuzione ottimale del carico e adattamento a geometrie diverse

  • Disponibile con capacità di carico fino a 10 t – scelta in base alle esigenze nel negozio online

  • Sospensione centrale o doppia – per la massima compatibilità con ganci semplici o doppi

  • Protezione superficiale di alta qualità – verniciatura durevole in RAL 1003 giallo segnale

  • Produzione su misura dalla Germania – 100 % fabbricazione presso la sede di Suhl (Turingia)

Dettagli tecnici e personalizzazione:

  • Capacità di carico e dimensioni selezionabili: Nel negozio puoi semplicemente scegliere il carico necessario e la lunghezza delle traverse trasversali e longitudinali.

  • Regolabilità: La distanza dei ganci può essere ridotta manualmente a circa metà larghezza – ideale per utilizzi variabili.

  • Sospensione centrale tramite gancio semplice o alternativamente con catena (disponibile anche da noi).

  • Possibilità di personalizzazioni: Prima della produzione, creiamo un disegno costruttivo per l'approvazione – in questo modo ottieni esattamente la traverse di cui hai bisogno.

Sicurezza & Qualità:

Le nostre traverse H / traverse trasversali sono realizzate secondo la norma DIN EN 13155 e sono progettate per fino a 20.000 cicli di carico. Sono conformi alla normativa sulla sicurezza operativa (BetrSichV) e alla direttiva macchine CE. Ogni traverse viene fornita con targa identificativa, marcatura CE, manuale d'uso , dichiarazione di conformità CE e libro di controllo incluso.

Nota: Essendo una soluzione personalizzata, la traverse non può essere restituita.

Controllo regolare & Servizio:

In quanto mezzo di sollevamento, la traverse H è soggetta a verifica annuale secondo le normative DGUV 109-017. I nostri esperti della SHT Suhler Hebezeugtechnik GmbH offrono questo servizio direttamente – così come la verifica di ulteriori attrezzature come scale, porte o mezzi di sollevamento.

Accessori aggiuntivi e altri tipi di traverse:

Oltre alla traverse trasversale regolabile, offriamo un'ampia gamma di altri prodotti:

  • Traverse a travetto & traverse a travetto regolabili

  • Traverse Big Bag (anche con baricentro abbassato)

  • Ganci a C / ganci per bobine

  • Mezzi di sollevamento come anelli, cinghie di sollevamento, catene di sollevamento, catene di sollevamento e molto altro.


La nostra traverse H regolabile, nota anche come traverse trasversale o traverse a 4 punti, è il perfetto investimento per il futuro della tua azienda. Offre flessibilità, adattabilità per molti carichi, qualità e sicurezza, garantendo così il massimo beneficio e un valore duraturo.

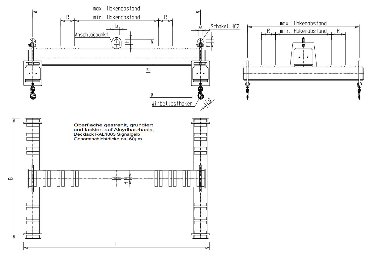
Struttura tecnica della traverse H / traverse trasversale

La traverse H regolabile / traverse trasversale è composta da

  • un travetto trasversale, al quale la sospensione avviene tramite un occhiello della gru
  • due bracci regolabili. 
  • Ganci a girello alle estremità esterne delle traverse H o traverse trasversali.

Nel tipo regolabile, la loro distanza è regolabile manualmente. In alternativa, offriamo in ogni capacità di carico anche un tipo di traverse trasversale in costruzione bassa, che è rigido (quindi non regolabile).

In quali casi si dovrebbe utilizzare una traverse H regolabile?

  • Distribuzione del carico irregolare: consente una distribuzione uniforme con carichi irregolari.
  • Flessibilità con carichi diversi: adattabile per diverse dimensioni e forme di carichi.
  • Spazi ristretti: utile in situazioni con spazio limitato per il sollevamento.
  • Sollevamenti di precisione: offre un controllo più preciso sulla posizione del carico.
  • Sospensioni multipunto: consente di utilizzare più punti di sospensione per stabilità o allineamento.
  • Condizioni di sollevamento variabili: offre un'adattabilità generale in diverse situazioni di sollevamento.

Perché acquistare le tue traverse presso SHT Hebezeugshop?

  • Controllo totale tramite disegno di produzione: Si prega di notare che per tutte le nostre traverse H / traverse trasversali / traverse a 4 punti - anche per ordini diretti nel negozio - realizziamo rapidamente un disegno costruttivo e ti diamo la possibilità di approvazione della produzione. In questo modo ottieni sempre esattamente la traverse o anche gli accessori necessari che desideri - e le modifiche dei prodotti al tuo ambiente individuale e ai dati desiderati non sono - naturalmente nel rispetto delle possibilità tecniche - affatto un problema.
  • Massima flessibilità: Nelle opzioni della traverse H puoi selezionare nel negozio di sollevamento sia la capacità di carico che le lunghezze delle traverse trasversali e longitudinali (o bracci). La regolabilità delle traverse H consente normalmente di ridurre la distanza dei ganci a circa metà lunghezza o larghezza. In questo modo, con le traverse H SHT raggiungi la massima flessibilità. La capacità di carico massima può essere utilizzata in tutte le posizioni fino alla capacità di carico massima indicata (SWL = Safe working load).
  • Sospensione: La sospensione della traverse H / traverse trasversale avviene tramite un gancio centrale / occhiello della gru (normalmente gancio semplice della gru) o tramite una catena su due ganci simmetrici sulla traverse trasversale. Naturalmente, puoi ordinare anche queste catene da noi per questo tipo. Possiamo discutere eventuali altre possibilità di sospensione con te. Inoltre, siamo felici di concordare la sospensione con te, ad esempio se ci fornisci i dati per il tuo gancio (gancio della gru / gancio semplice / gancio doppio) o il numero del gancio.
  • Tempi di consegna brevi e qualità Made in Germany: La produzione avviene esclusivamente presso la nostra sede di Suhl, Turingia. In questo modo possiamo sviluppare e produrre rapidamente traverse di qualsiasi dimensione e capacità di carico su richiesta del cliente. La protezione superficiale avviene tramite sabbiatura e una verniciatura di fondo e di finitura a base di resina alchilica RAL 1003 giallo segnale. La base del calcolo delle traverse H / traverse trasversali è di max. cicli di carico di 20.000 secondo la norma DIN EN 13155. Si presume una distribuzione simmetrica del carico delle traverse trasversali.
  • Massimi standard di sicurezza: Presso SHT puntiamo sulla sicurezza. Le nostre traverse H e traverse trasversali sono realizzate secondo i più severi standard industriali e testate per garantire la massima sicurezza in ogni operazione di sollevamento.
  • Costruzione robusta: Realizzate con materiali di alta qualità, le nostre traverse garantiscono una lunga durata e una manutenzione minima. Sono progettate per resistere alle condizioni più difficili, offrendo al contempo prestazioni ottimali.
  • Consulenza e supporto esperti: Presso SHT non ricevi solo un prodotto, ma una consulenza e un supporto completi. Il nostro team esperto ti aiuterà a scegliere la traverse perfetta per le tue esigenze specifiche.

Cosa è ancora importante?

Le nostre traverse H sono realizzazioni su misura, pertanto non è possibile restituirle o cambiarle.

Le traverse H che offriamo sono conformi alla normativa sulla sicurezza operativa (BetrSichV) del 03.02.2015 e alla direttiva macchine CE. La fornitura della traverse H comprende manuale d'uso, dichiarazione di conformità CE e libro di controllo. La marcatura avviene tramite una targa identificativa e il marchio CE.

Accessori ampi: riceverai anche un'ampia gamma di accessori - prodotti da noi, come ad esempio cinghie di sollevamento, anelli, catene di sollevamento / catene per gru / catene di sollevamento, ganci semplici, dispositivi di sicurezza contro le cadute, sicurezza del carico e molto altro. Inoltre, naturalmente, riceverai qualsiasi tipo di altre traverse, ad esempio semplici traverse a travetto, traverse a travetto regolabili, traverse Big Bag / traverse BigBag come traverse incrociate, traverse Big Bag con baricentro più basso, ganci a C o ganci per bobine e molto altro.

Hai ancora domande sulle traverse H regolabili o traverse trasversali?

Stai cercando una variante leggera della traverse H? Forse la nostra Traverse H in alluminio è quella giusta per te.

Contattaci in qualsiasi momento o prendi contatto se hai bisogno di ulteriori dati / informazioni / servizi su uno dei nostri prodotti!

0,0
0 Bewertungen

Questo prodotto non ha ancora recensioni. Sii il primo!

La tua recensione

×

📦 Spese di spedizione Italia

Versandbedingungen

SHT liefert jede Warensendung per Spedition oder per Paketdienst. Die Lieferzeit ist abhängig von der Verfügbarkeit der Ware im Lager. Wir versuchen die Versandkosten zu optimieren, diese werden dann ohne Zuschlag an den Kunden weitergegeben.

Zahlungsbedingungen

Da Hebezeuge mehrheitlich von Geschäftskunden erworben werden, sind alle Preise Nettoverkaufspreise. Auf dem Kundenbeleg/Rechnung befinden sich ebenfalls separat ausgeschildert die Nettopreise, zu denen noch die jeweils geltende deutsche gesetzliche Umsatzsteuer kommt.

Die Ware inkl. Versandkosten können gezahlt werden

  • Kauf auf Rechnung (30 Tage Zahlungsziel)
  • Kreditkarte
  • Sofort Überweisung
  • Bancontact
  • giropay
  • SEPA-Lastschrift
  • Apple-Pay
  • Vorkasse

Die in unseren Katalogen, Broschüren, Preislisten, Internetseiten und sonstigen Werbeschriften angeführten Preise gelten als freibleibend, vorbehaltlich Satz- und Druckfehler und verstehen sich wenn nicht anders aufgeführt ab Verkaufsgelände oder Warenlager.

Bitte beachten Sie, dass wir uns bei Erstkäufern, die als Privatpersonen einkaufen, das Recht vorbehalten, Vorkasse als Zahlungsart zu bestimmen. Dies gilt auch dann, wenn im Bestellprozess zunächst 'Kauf auf Rechnung' als Zahlungsmethode ausgewählt wurde.

Sämtliche von uns gelieferte Ware bleibt bis zur vollständigen Bezahlung des Kaufpreises in unserem Eigentum.

Für sämtliche Streitigkeiten aus oder über den Kaufvertrag ist ausschließlich deutsches Recht anzuwenden. Die Anwendung des Übereinkommens der Vereinten Nationen über Verträge im internationalen Warenaustausch wird einvernehmlich ausgeschlossen. Der ausschließliche Gerichtsstand ist Hamburg.

×

🔍 Trovato a meno?

Hai trovato questo articolo a un prezzo inferiore? Indicaci il prezzo – verificheremo e ti risponderemo rapidamente!

Inserisci il link completo al prodotto

Spedizione rapida
Controllo, manutenzione & riparazione
Oltre 15.000 clienti soddisfatti
Pagamento con fattura
Chiamaci: 03681 454266-20